ChaseDream
搜索
返回列表 发新帖
楼主: hang13
打印 上一主题 下一主题

7-8月数学JJ至332题 0807 9:10停止更新,祝福大家!

[复制链接]
271#
发表于 2009-7-23 13:16:00 | 只看该作者
啊,t-是非t啊,如果是的就是A了
272#
发表于 2009-7-23 18:16:00 | 只看该作者

24/166         DS: mn次方是perfect square?

1 mperfect square

2 nperfect square

 

质疑参考答案的C,我怎么觉得是E

 

举例:m=9,n=25,这两个就都是perfect square了,但是9的25次方,不是完全平方数呢!

273#
发表于 2009-7-23 18:36:00 | 只看该作者
9^25=3^50
274#
发表于 2009-7-23 18:38:00 | 只看该作者

谢谢楼上liqutorsoul86同学的见解。


[此贴子已经被作者于2009/7/23 18:39:52编辑过]
275#
发表于 2009-7-23 19:48:00 | 只看该作者
弱问:楼主每天会把讨论结果重新更新到JJ的原题吗,还是维持原来解答,用后面的题来确认结果?
276#
发表于 2009-7-23 20:11:00 | 只看该作者

150  五个正整数p,q,r,s,t算术平均数是18,其中t40,问median最大值

answer 22sure


   

做法
    
将选项带入答案一个个去试,从最大的试


   

guang722: 最好把数带进去算算。目前没想到好方法。

我这样算不知道对不对

p+q+r+s=18*5-40=50    设左边两个p=q=1    r+s=50-2=48


   

          r s可以相等,则最大值可以是48/224


[此贴子已经被作者于2009/7/23 20:24:03编辑过]
277#
发表于 2009-7-23 20:14:00 | 只看该作者
牛牛们,数学205题是什么意思啊?怎么解答呢?
278#
发表于 2009-7-23 20:15:00 | 只看该作者
谢谢LZ~~
279#
发表于 2009-7-23 20:15:00 | 只看该作者

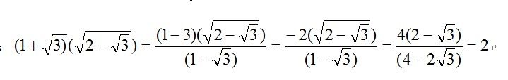
148  (1+根号3)(大根号下(2-根号3)和以下哪个结果一样?


    

选项也都很复杂,只记得有:C 3+根号3   E 5+根号2+根号3 其他选项也都是含根号2, 根号3的。

这题我算答案是2

280#
发表于 2009-7-23 21:09:00 | 只看该作者

请教

30       4 jars, each with equal water in the beginning --> move the water so that the ratio is 1:6:5:4, what fraction of water is moved?

 

sscsxl:假设开始每个都是4 相当于从4444à1654  只把第一个jar中的2给了第二个jar 然后第一个又把1给了第三个
        
就达成了
        
相当于只有第一个jar动了3  总的是16 所以答案应该是3/16

这道题我设原来都是6,也就是6:6:6:6, 后来变成1:6:5:4,也就是move掉了8, 比上原来24=1/3, 请问我的做法有问题么,为什么和答案不同呢,谢谢

您需要登录后才可以回帖 登录 | 立即注册

Mark一下! 看一下! 顶楼主! 感谢分享! 快速回复:

手机版|ChaseDream|GMT+8, 2026-5-20 16:30
京公网安备11010202008513号 京ICP证101109号 京ICP备12012021号

ChaseDream 论坛

© 2003-2025 ChaseDream.com. All Rights Reserved.

返回顶部